世界顶级医学期刊:癌症更易盯上肾友,如何5招降低风险
发布时间:2019-04-30

老杨是肾内科的一名老患者,最近面色变差,精神也越来越不好。


经过询问才知道,老杨不久前查出了肺癌,对于长期受到肾病困扰的老杨来说,这如同火上浇油。

 

事实上,这已经不是今年科里第一个发现患癌的患者了。


癌症,是现代人最害怕的疾病之一。癌症具有“三高”的特点:


发病率高,治疗费用高,死亡率高

 

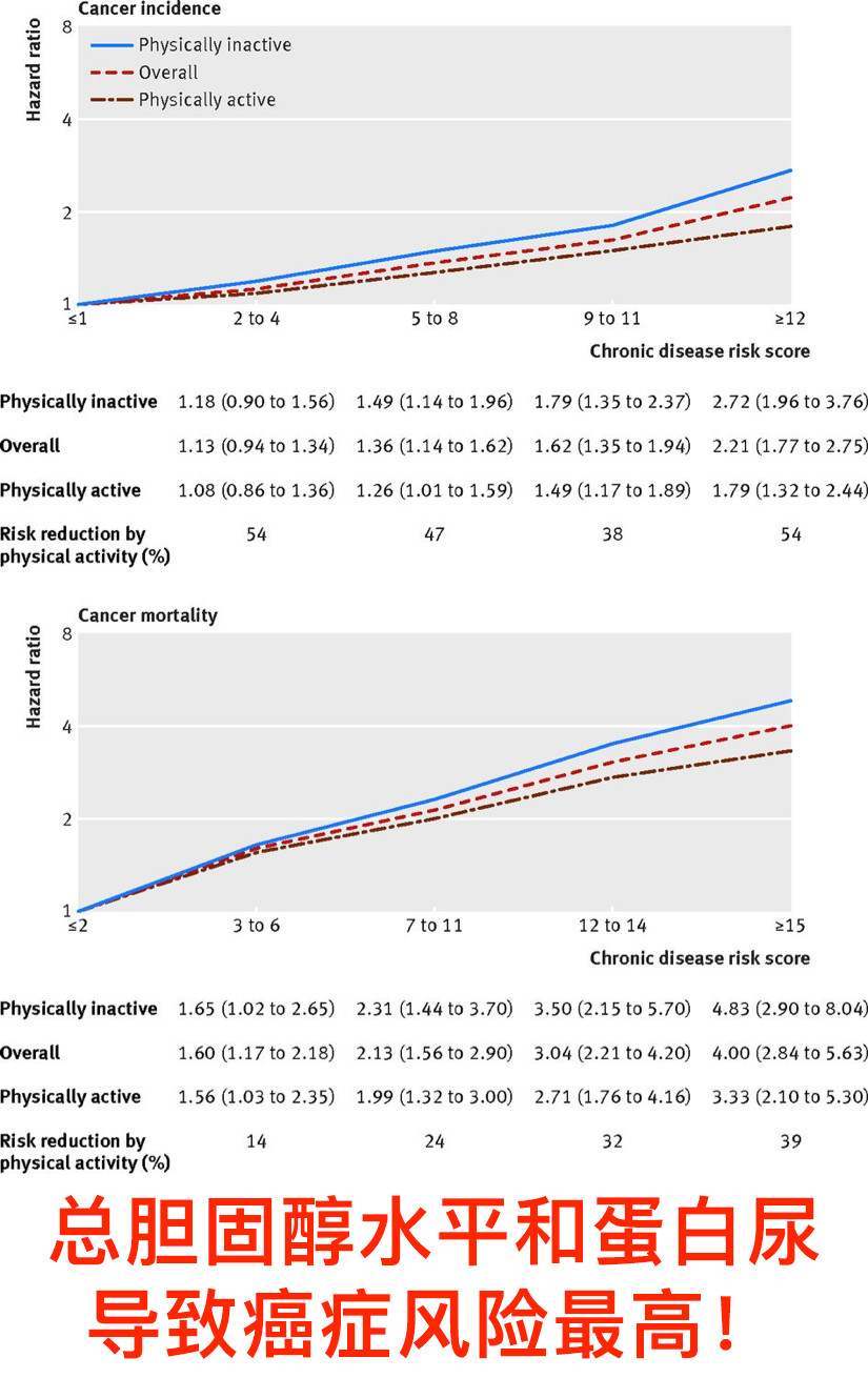
研究发现:


有些人更容易得癌症,其中就包括慢性肾病患者。

 

世界的顶级医学期刊《英国医学杂志》中发表的研究结果显示:


慢性病会导致患者癌症发病率和死亡率升高。



男性患者中,蛋白尿患者预期寿命减少6.6岁,肾小球滤过率<60 mL / min / 1.73 m²的患者预期寿命减少3.3岁。


女性患者中,蛋白尿患者预期寿命减少6.9岁,肾小球滤过率<60 mL / min / 1.73 m²的患者预期寿命减少5.7岁。



减少癌症风险,从这5点做起


如果肾病不可避免,那么我们可以通过做到这5件事,来减少自己癌症的风险。


远离烟草


吸烟是所有生活方式中,增加癌症风险最多的一项。无论主动吸烟,还是二手烟,都与癌症的发生密切相关。


所以我们要做的第一件事,就是远离烟草!


坚持运动


如今人们的运动量,远低于老一辈,尤其是城市白领和退休人士。


推荐的运动量,是每周5天,每天>30分钟。


推荐的运动方式,包括跑步、游泳、自行车、瑜伽、舞蹈等。


足量蔬果


蔬菜和水果中,富含各种抗癌物质。


现代中国人饮食,蔬果的摄入主要存在两个问题:


1.摄入量不足。中国营养学会推荐,每天300-500g的蔬菜,200-300g的水果。


2.种类单一。美国营养学会推荐,每天吃5种不同颜色的蔬菜和水果。


事实上,每天能做到这两点的人,少之又少。


避免酒精


酒精是世界卫生组织公布的明确致癌物。


然而中国人餐桌上的酒文化,导致酒精消费逐年递增。


根据中国营养学会推荐,成年男性摄入酒精不超过25g/d,女性不超过15g/d。



健康体重


随着生活水平的提高,超重和肥胖正在成为影响越来越多中国人健康的新问题。


BMI是判断体重是否超标的一项标准。正常的BMI应该在18.5-24.0kg/m²,如果你超出这个范围,就需要通过饮食结合运动的方式,把体重控制在理想范围内。



当你做到这5件事,你的获益将是全方位的。不只可以将癌症风险降低,就连身体状态、精神状态也会随之改善,从今天开始就行动起来吧!


参考文献:

[1] Tu H , Wen C P , Tsai S P , et al.Cancer risk associated with chronic diseases and disease markers: prospectivecohort study[J]. BMJ Clinical Research, 2018, 360:k134.


你可以点下面的小程序

只需1分钟

了解你的肾功能还剩多少

1795
0
0
0